Муниципальное
Бюджетное
Учреждение
Благоустройство ЖКХ и ДХ Муниципального округа Зарайск
Уважаемые жители муниципального округа Зарайск!
Информируем, что 18 апреля 2025 года с 13 ч. 00 мин. в г. Зарайске будет осуществлять личный приём граждан заместитель прокурора Московской области Панин Сергей Викторович.
В Московской области запущен эксперимент по переходу на электронные квитанции ЖКХ
Постановление Правительства РФ от 07.02.2025 N 126 "О проведении на территории Московской области эксперимента по направлению платежного документа для внесения платы за жилое помещение и коммунальные услуги в многоквартирных домах в электронной форме без его дублирования на бумажном носителе" (вместе с "Положением о проведении на территории Московской области эксперимента по направлению платежного документа для внесения платы за жилое помещение и коммунальные услуги в многоквартирных домах в электронной форме без его дублирования на бумажном носителе")
Цели проведения эксперимента - повышение доступности получения платежных документов и снижение объема бумажного документооборота на территории Московской области.
В период проведения эксперимента жители Московской области смогут добровольно отказаться от получения платежных документов на бумажном носителе. В таком случае граждане будут получать их в электронной форме через личный кабинет на региональном портале госуслуг.
Эксперимент будет проводиться по 1 октября 2025 года
🛋❌В Подмосковье ввели новый алгоритм выявления нарушителей чистоты и порядка во дворах
🔴К этой категории относятся предметы более 50 сантиметров — элементы мебели, фанера, бытовая техника.
📌Как теперь это работает?
— нейросеть выявляет правонарушителя, а затем административная комиссия муниципалитета привлекает его к ответственности по ст. КоАП МО.
«В регионе более 66 тыс. камер с искусственным интеллектом. При их помощи мы разработали алгоритм выявления незаконопослушных жителей. Привлекаем к участию и правоохранительный блок, в части определения персональных данных жителей по фото. Установили срок устранения последствий сброса отходов для управляющих организаций — 48 часов. Раньше эта процедура занимала до 7 дней и не была регламентирована. В ином случае последует штраф. Так, только за неделю было вынесено порядка 40 постановлений», — сказал заместитель Председателя Правительства Московской области - министр по содержанию территорий и государственному жилищному надзору Московской области Владислав Мурашов.
‼В соответствии со статьей 6.1 КоАП МО штраф для физических лиц за незаконный сброс отходов составит до 5 000 рублей.
📍Узнать адрес расположения ближайшего бункера для отходов можно на официальном сайте Министерства.
📲Для вывоза крупногабаритных отходов из квартиры можно воспользоваться специальным сервисом на региональном портале госуслуг.
Не хочешь штраф и на штрафстоянку — паркуйся правильно!
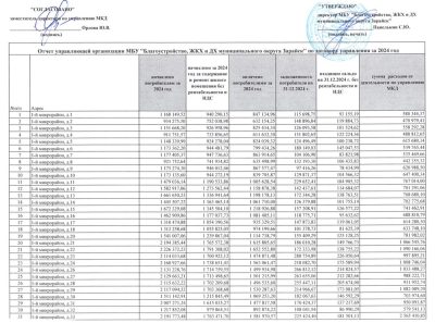
Решение N 461 Об установлении размера платы за содержание жилого помещения для нанимателей жилых помещений по договорам социального найма и собственников жилых помещений в многоквартирных домах в муниципальном округе Зарайску Московской области
Электронное голосование
собственников
через систему ГИС ЖКХ
Участвуйте из любой точки местонахождения и с любого
гаджета, имеющего доступ к интернету.
Реестр (перечень) нормативных правовых актов
содержащих требования охраны труда,в соответствии со спецификой своей деятельности, действующих в МБУ «Благоустройство, ЖКХ и ДХ городского округа Зарайск», отдела УМКД
Ежегодный график технического обслуживания внутридомового и внутриквартирного газового оборудования многоквартирных домов филиала АО «Мособлгаз» Юг на 2025 год
Уведомление
о предоставлении лицензии на осуществление предпринимательской деятельности по управлению многоквартирными домами
МосОблЕИРЦ уведомляет о смещении сроков доставки платёжных документов в марте 2024 года.
В марте сроки доставки сдвигаются на несколько дней в связи с тем,
что февраль - короткий месяц.






#Спрашивали? Отвечаем!
Уважаемые жители Московской области!
Возможность пройти целевое обучение (высшее образование) в НИУ «Московский Энергетический Институт» г. Москва с гарантированным трудоустройством.
Официальное обращение
Рассматривается директором
Официальные обращения, поданные через сайт организации ndzaraysk.ru рассматриваются лично генеральным директором.
Письма не потеряются
При направлении обращения через сайт, вы автоматически получите на свою почту копию вашего обращения, а также присвоенный входящий номер
Контроль Администрацией
Администрация городского округа Зарайск контролирует работу нашей компании, с целью повышения качества предоставления услуг населению города
Качество обслуживания
Если у вас имеются претензии по качеству обслуживания вашего дома, пожалуйста, оставьте свое обращение, указав категорию обращения – “жалоба”
